仙境传说手游十字驱魔牧师妖道详细数据研究 妖道挂机最优方案
|
十字驱魔妖道详细数据研究 之前的内容发现计算方法有误,确实忽略了2.8秒到1秒之间的数据,并且数据采样选取的是5秒驱魔与2.8秒的差距,实在不够娘家人。 本次测试共3个多小时,使用石头1800个,料理8个,未开锁链。统计数据为JOB,换算Base经验为175.19%倍。 样本数据收集: 统计数据为JOB,换算Base经验为175.19%倍。单人经验提高81.82% 1-3秒施法样本为每次5分钟,3.1-6秒施法为每次1分钟 (开启自动后15秒开始计算,全程由另一牧师保证牺牲,天赐,法师火环排除狐狸干扰,期间遇到引怪则重新统计)
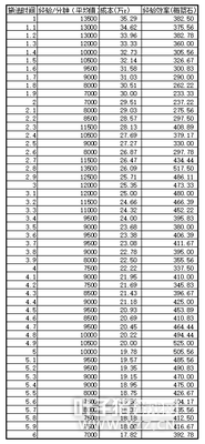
*本图经验效率说法有误,为经验/蓝石成本,不是每蓝石。应该换算说法为收益率。
十字驱魔经验获取峰值为:适龄等级Base322万/时,Job184万/时(非锁链状态,非锁链时长)80级经验获取为:257.6万/147万。 组队状态下为:适龄:177万/101万,80:141万/80万 十字驱魔经验获取峰值施法速度为:1秒和2.8秒(1秒实际经验比2.8秒快1.45%,但单位经验未满500,没有在表中统计)
十字驱魔收益率计算: 4.9秒施法收益率为:525,为最大值,单位成本经验收益率最高。 2.8秒施法收益率为:517,单位成本经验收益率和单位时间经验获取率,性价比最高。 1秒施法收益率仅为:382,单位时间经验获取率最高,性价比低。 4.9秒施法同经验获取时,成本较2.8秒和1秒驱魔节约:1.5%和37.4%,获取经验速度比2.8秒和1秒驱魔少:22.2%和23.1%。 2.8秒施法同经验获取时,成本较1秒驱魔节约:35.3%,获取经验速度比1秒驱魔少:1.46%(基本符合之前2.8秒驱魔和1秒驱魔测试1.66%的偏差) 1秒施法同经验获取时,经验获取速度比3秒驱魔高:12.5%(基本符合上次测试效率10%差距) 结论: 1、经验获取速度最快为1秒驱魔,但成本较高,性价比低。 2、性价比最高为4.9秒驱魔,但每日获取经验总额少,性价比优秀,适合初入驱魔牧师选择。 3、施法速度2.8秒时候,经验收益是除1秒驱魔外最高,性价比除4秒驱魔外最高,为最推荐驱魔牧师配置。 4、对于上次未计算2.8秒与1秒驱魔之间数据测试,未进行3.2秒驱魔至4.8秒驱魔之间数据测试深表歉意。 [编辑:叶子猪小秘书]
|
本资讯及文章仅代表发表厂商及作者观点,不代表叶子猪本身观点!
相关阅读:
| 占位 | 占位 | 占位 | 占位 |
|---|---|---|---|
| 占位 | 占位 | 占位 | 占位 |
| 占位 | 占位 | 占位 | |
| 占位 | 占位 | 占位 |
| 占位占位 | |||
|---|---|---|---|
| 占位 | 占位 | 占位 | 占位 |
| 占位占位 | ||
|---|---|---|
| 占位占位 | 占位占位 | 占位占位 |
| 占位 | 占位 | 占位 |
| 占位 | 占位 | 占位 |
| 占位占位占位占位 | ||||
|---|---|---|---|---|
| 占位 | 占位 | 占位 | 占位 | 占位 |
| 占位 | 占位 | 占位 | 占位 | 占位 |
